Podcast: Play in new window
Subscribe: RSS
[display_podcast]
Date: July 2nd, 2015
Guest Skeptic: Dr. Jeffrey Kline (@klinelab) is the Vice Chair of Research in Emergency Medicine and a professor of physiology, Indiana University School of Medicine. Most of you probably know him as the origin of the PERC Rule. His diagnostic research interests focus on human affect analysis, pretest probability and capnography to reduce medical imaging. His human treatment research includes randomized trials of fibrinolysis and inhaled nitric oxide. His laboratory work focuses on mechanisms and treatment of acute pulmonary hypertension from pulmonary embolism, animal models of pulmonary embolism, and nanoparticle-delivered plasmin for clot lysis.
Case: A 55-year-old man presents with chest pain and shortness of breath. You risk stratify him to be non-high risk. His d-dimer comes back elevated at 720. A CT scan confirms a segmental pulmonary embolism.
Background: Venous thromboembolism is a common diagnosis made in the emergency department. According to Rosen’s textbook of Emergency Medicine, approximately 1 in every 500 to 1000 (0.1%-0.2%) emergency department patients have a pulmonary embolism (PE).
Per-patient inpatient admission costs for PE in the United States ranged from $25,000 to $44,000 between 1998 and 2006 with post-hospitalization warfarin and lab testing estimated at $2694.
Historically, these patients were all admitted to hospital for initial treatment (Simonneau). Washington University currently discharge ~1% of PE patients (and a few more DVT patients), but are asked to do so by admitting services in 21% of cases.
This situation is different in Canada. Papers starting coming out in the early 2000 demonstrating the safety of out-patient management of PEs (Kovacs). A pragmatic evaluation of the ambulatory management of PEs in Canada came out in 2010 (Kovacs). This showed 50% of patients being safely treated as out- patients.
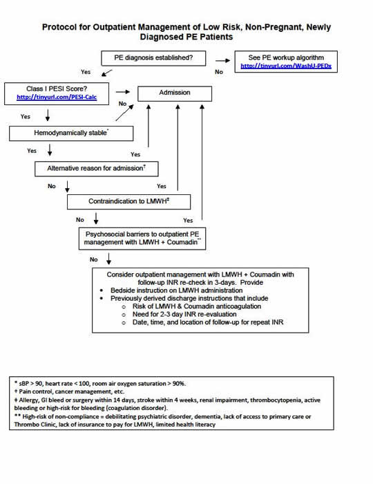
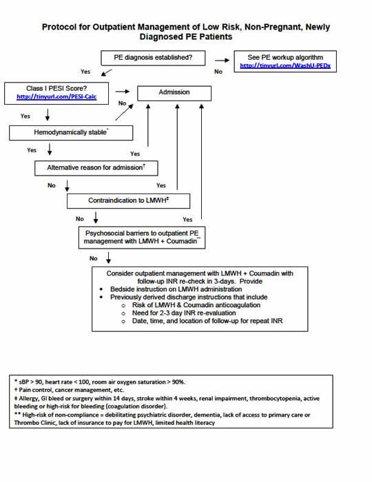
Washington University in 2013 conducted a Knowledge Translation Journal Club on this topic with Hospitalists in an attempt to develop a mutually agreeable algorithm to those individuals appropriate for outpatient management. We developed an algorithm for outpatient management of low risk, non-pregnant, newly diagnosed PE patients that we still use today. One of our biggest uncertainties was if and how to manage these patients with newer anti-coagulants.
Dr. Jeff Kline Primer on New Oral Anticoagulants:
- What are these new drugs?
- How they work (mechanism)?
- What are their indications?
- How safe are these new drugs?
- How do they compare to warfarin?
Clinical Question: Can low-risk emergency department patients with acute venous thromboembolsim be safely discharged home on rivaroxaban?
Reference: Beam DM et al. Immediate discharge and home treatment of low risk venous thromboembolism diagnosed in two U.S. emergency departments with rivaroxaban: a one-year preplanned analysis, Acad Emerg Med 2015
- Population: Low-risk adult patients with newly diagnosed PE or DVT in academic emergency department (Modified Hestia Exclusion Criteria to identify low risk patients).
- Systolic hypotension (<100 mm Hg in absence of a history of low blood pressure at baseline).
- Contraindication to low-molecular-weight heparin or warfarin treatment (active bleeding or high-risk postoperative status, creatinine clearance < 30 mL/min, history of heparin-induced thrombocytopenia, or warfarin skin necrosis).
- Other medical condition requiring hospital treatment (sepsis, new or decompensated existing organ failure, intractable pain).
- Social condition requiring hospital treatment (homelessness with history of nonadherence to treatment, suspected neglect or abuse, untreated psychosis, severe alcohol or drug dependency).
- Coagulopathy, any INR > 1.7, or thrombocytopenia.
- Pregnancy.
- Incarceration.
- Intervention: Rivaroxaban 15 mg orally twice daily x 21 days then 20 mg daily for unspecified duration. Patients optionally got a first dose of enoxaparin 1mg/kg sub cutaneous
- Comparison: None
- Outcome: Recurrent venous thromboembolism (VTE) or hemorrhage. For bleeding they used the International Society of Thrombosis and Hemostasis definition of major or clinically relevant non major bleeding.
Authors’ Conclusions: “Patients diagnosed with VTE and immediately discharged from the ED while treated with rivaroxaban had a low rate of VTE recurrence and bleeding.”
Quality Checklist for Observational Trials:
- Did the study address a clearly focused issue? Yes
- Did the authors use an appropriate method to answer their question? No
- Was the cohort recruited in an acceptable way? Unsure
- Was the exposure accurately measured to minimize bias? Yes
- Was the outcome accurately measured to minimize bias? Yes
- Have the authors identified all important confounding factors? Yes
- Was the follow up of subjects complete enough? Yes, only lost 3/106
- How precise are the results/is the estimate of risk? Precise
- Do you believe the results? Yes
- Can the results be applied to the local population? Unsure
- Do the results of this study fit with other available evidence? Yes
Key Results: A total of 106 patients discharged with venous thromboembolism (VTE) including 67% with DVT, 28% with PE and 5% with both DVT and PE. Of the total patients presenting with VTE they were able to discharge and treat as outpatients 27% of PE patients and 51% of DVT patients. Two patients died from causes unrelated to VTE or rivaroxaban therapy. There were three patients lost to follow-up and assumed to have a good outcome.
Primary Outcome:
New VTE: None 0/106 (0%, 95% CI 0% to 3.4%).
Recurrent VTE: 3/106 (3%, 95% CI 0.6% to 8%) after discontinued therapy
Bleed: No patients had major bleeding events.
We asked Dr. Kline a number of questions about the study. Listen to the SGEM Podcast to hear his answers.
A few things about the Anticoagulation Clinic:
- You report two approaches that could be difficult to replicate. You did not use a one-size-fits all duration of rivaroxaban therapy. Instead, “we used a combination of published criteria, evidence, clinician judgment, and shared-decision making to decide the duration of anticoagulation for each patient.” Would other healthcare settings without an emergency department-led anticoagulation clinic with access to the world’s authority on VTE management be able to provide such individualized care?
- You used an anticoagulation clinic staffed by the authors, to which most emergency physicians in other settings would not have access. In many urban settings, access to anticoagulation clinics can take months to schedule from the emergency department that serves as a significant barrier to discharge home for some patients.
- Another point is you said: “adoption (of the rivaroxaban protocol) by our ED faculty and housestaff was rapid and enthusiastic.” In other settings that lack an opinion leader with acknowledged expertise in the management of VTE, implementation processes and early adoption would likely be significantly more challenging.
Five Question about Bias in the Study:
- You reported doing a chart review to identify VTE or bleeding events but report no chart review methods such as Gilbert and Lowenstein or Worster et al.
- You used a modified Hestia criteria and the Prediction of Mortality from Pulmonary Embolism in Cancer (POMPE-C) criteria to identify “low-risk”, but they provide no evidence that the modified Hestia criteria predict VTE adverse outcomes or that the POMPE-C predict adverse outcomes in non-cancer patients.
- You report no sensitivity analysis for the three patients who were completely lost to follow-up. Instead they assume that no adverse VTE events/outcomes occurred in these three patients. How about considering the worst case scenario and they all bled or died. How would that impact your data/conclusions?
- You were able to provide rivaroxaban free of charge or at a deeply discounted rate for up to one year (www.jjpaf.org) for their largely indigent population. Whether manufacturers or state Medicaid programs would be willing/able to provide free or very cheap rivaroxaban on a much larger scale should the proposed protocol become standard of care everywhere is a key issue to widespread adoption of this protocol.
- You did not compare this to “standard care” such as admitting these low risk patients to hospital and starting them on warfarin or rivaroxaban?
Comment on Authors’ Conclusion Compared to SGEM Conclusion: We agree that this is a preliminary study demonstrating apparent efficacy and safety of rivaroxaban in urban, teaching emergency department settings for outpatient management of significant proportions of VTE patients. Additional studies from more heterogeneous emergency department settings and preferably from randomized controlled trials are needed before widespread application of this protocol is reasonable.
SGEM Bottom Line: One observational study from two Indianapolis hospitals implies that rivaroxaban administered for variable durations of time for patients newly diagnosed with VTE in the emergency department is reasonably safe and effective. However, practice-change based on single non-randomized study is unjustified and multiple implementation barriers need to be evaluated and overcome prior to widespread application of this protocol.
Case Resolution: The patient is presented with appropriate information. He is low risk, has a drug plan for rivaroxaban and can get follow-up in couple of weeks. You discuss the options including admission or out patient management. A shared decision is made for him to go home on rivaroxaban.
Clinically Application: It is certainly reasonable to discuss outpatient treatment with rivaroxaban (or warfarin) for appropriate low-risk emergency department patients with newly diagnosed VTE, but the discussion should include the degree of uncertainty associated with non-randomized, observational studies.
What Do I Tell My Patient? You have a blood clot in your lung. One early study suggests low-risk patients like you can be treated safely with a new pill that “thins your blood”. Sometimes early studies are later shown to be wrong by bigger and better studies. We should always be a little skeptical of small new studies. The usual treatment for blood clots is to admit you to the hospital. This is expensive and takes you away from home, family, and work for an extended period of time. You are a low-risk patient and have access to this new medication. You also can get seen in the special blood clot clinic in the next couple of weeks. Going home on the new pill or being checked into hospital are both reasonable options. What would you like to do?
Keener Kontest Last weeks winner was Carsten Poulsen who knew what a paper clip had to do with making knowledge translation happen. He received a very special cold skeptical prize at SMACC. If you want to know about the paper clip story then watch for the SGEM Xtra later this summer.
Listen to the podcast for this weeks question. If you know the answer then send an email to TheSGEM@gmail.com with keener in the subject line. The first correct response will receive a cool skeptical prize.
Well that is the 42nd episode of the SGEM this year. In keeping with the theme of hitch hikers guide to the universe it will be the last regular episode of Season#3.
Don’t panic the SGEM will be back in the fall with 42 more structured critical reviews of the recent literature cutting the knowledge translation window down from over ten years to less than one year. Over the summer we will have a number of SGEM Xtras.
Like always, let me know what you think of the SGEM. I am happy to hear your feedback/suggestions. If you would not mind please give a review on iTunes (perhaps 5 stars), like the SGEM on Facebook and follow on Twitter.






You must be logged in to post a comment.